中文
|
EN
關于我們
新聞中心
産品中心
科研成果
人才招聘
聯系我們
Open Menu
關于我們
新聞中心
産品中心
科研成果
人才招聘
聯系我們
共赢未來(lái)
方法科學 質量至上 效率優先
主打産品
原料藥
中間體(tǐ)
首頁
->
産品中心
->
中間體(tǐ)
主打産品
原料藥
中間體(tǐ)
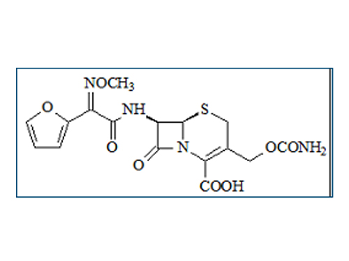
頭孢呋辛酸
DCC
2-乙酰呋喃
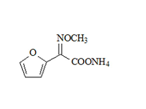
呋喃铵鹽
氯磺酰異氰酸酯
四甲基胍
呋喃
三甲基碘矽烷
1
2
3
>>
吉林普瑞特生(shēng)物科技有限公司